注意:访问本站需要Cookie和JavaScript支持!请设置您的浏览器! 打开购物车 查看留言付款方式联系我们
初中电子 单片机教材一 单片机教材二
搜索上次看见的商品或文章:
商品名、介绍 文章名、内容
首页 电子入门 学单片机 免费资源 下载中心 商品列表 象棋在线 在线绘图 加盟五一 加入收藏 设为首页
本站推荐:
基于光电技术的脉搏测量方法
文章长度[3543] 加入时间[2008/5/27] 更新时间[2025/10/31 14:40:37] 级别[0] [评论] [收藏]
作者:不详  来源:本站整理  发布时间:2007-12-21 12:54:45  发布人:admin

摘要:脉搏测量是指检测脉博的有无,使用的传感器是红外接收二极管和红外发射二极管。信号经过放大后,送入单片机计数测量。为了克服干扰,设计了低通放大器。
关键词:测量;脉搏;拾取;放大;低通


1 引言
    脉搏测量属于检测有无脉博的测量,有脉搏时遮挡光线,无脉搏时透光强,所采用的传感器是红外接收二极管和红外发射二极管。用于体育测量用的脉搏测量大致有指脉和耳脉二种方式。这二种测量方式各有优缺点,指脉测量比较方便、简单,但因为手指上的汗腺较多,指夹常年使用,污染可能会使测量灵敏度下降;耳脉测量比较干净,传感器使用环境污染少,容易维护。但因耳脉较弱,尤其是当季节变化时,所测信号受环境温度影响明显,造成测量结果不准确。

2 脉搏信号的拾取 
    脉搏信号拾取电路如图1所示,IClA接为单位 增益缓冲器以产生2.5V的基准电压。

    红外接收二极管在红外光的照射下能产生电能,单个二极管能产生O.4 V电压,0.5 mA电流。BPW83型红外接收二极管和IR333型红外发射二极管工作波长都是940 nm,在指夹中,红外接收二极管和红外发射二极管相对摆放以获得最佳的指向特性。红外发射二极管中的电流越大,发射角度越小,产生的发射强度就越大。在图 l中,RO选100 Ω是基于红外接收二极管感应红外光灵敏度考虑的。R0过大,通过红外发射二极管的电流偏小,BPW83型红外接收二极管无法区别有脉搏和无脉搏时的信号。反之,R0过小,通过的电流偏大,红外接收二极管也不能准确地辨别有脉搏和无脉搏时的信号。当红外发射二极管发射的红外光直接照射到红外接收二极管上时, IC1B的反相输入端电位大于同相输入端电位,Vi为“O”。当手指处于测量位置时,会出现二种情况:一是无脉期。虽然手指遮挡了红外发射二极管发射的红外光,但是,由于红外接收二极管中存在暗电流,仍有lμA的暗电流会造成Vi电位略低于2.5 V。二是有脉期。当有跳动的脉搏时,血脉使手指透光性变差,红外接收二极管中的暗电流减小,Vi电位上升。
    由此看来,所谓脉搏信号的拾取实际上是通过红外接收二极管,在有脉和无脉时暗电流的微弱变化,再经过IClB的放大而得到的。所拾取的信号为2μV左右的电压信号。

3 信号的放大
   
按人体脉搏在运动后最高跳动次数达240次/分计算来设计低通放大器,它由IC2A和C04等组成,如图2所示。转折频率由R07、C04、R08和C05决定,放大倍数由R08和R06的比值决定。

    根据二阶低通滤波器的传递函数,可得

   
    按人的脉搏最高为4 Hz考虑,低频特性是令人满意的。
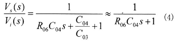
    需要说明的是,以上分析是在忽略C03的条件下做出的,如果考虑C03的话,那么:

   
    由此可见,C03没有影响频率特性的分析,它的作用只是隔直。
    二级放大器兼比较器如图3所示。Rpll用以调整系统的放大倍数,C06用以防止放大器自激。采用二级放大,零点漂移不很明显,在O.1 V左右。所以将比较器的阈值电压设计成O.25 V,以确保滤除干扰信号。采用比较器的好处是能有效地克服零点漂移所造成的影响,提高测量的准确性。

4 波形整形
   
波形整形电路如图4所示,IC3A是CD4528型单稳态多谐振荡器,有效脉宽为0.05 s.其宽度由R22和C20决定。IC3B也组成一个单稳态多谐振荡器,脉宽为240ms。D2、Dl和T3等组成一个或非门,只有C,E两点均为低电平时,信号放大器整机输出才是高电平。设计这个电路的目的是为了在输出端输出一个窄脉冲,并且要在由R13和C07决定的时间内任何信号都不会干扰输出。 R23和C21充电时间的长短决定了计数脉冲的宽度,一般不希望它太宽。波形整形时序如图5所示。

5 结束语
   
当该放大器用于集群脉搏测量仪时,一定要注意不同信号通道之间的相互影响,建议把各个放大器的电源分开。此外,测量通道需要一个开关电路,当指夹悬空时,这个开关电路关闭单稳态电路,切断信号通路,防止乱计。
    几年的生产实践证明,该放大处理电路稳定可靠。下面是笔者在设计中获得的一些体会。

    采用二级放大好于三级放大,个别三级放大电路板的零点漂移大得足以达到满幅,使得测量不准确。每个单级放大器放大倍数最好不要大于30,以免自激振荡。
    本信号放大器的高频转折频率由C05、C04、R07、R08和R06决定,C05、C04通常选聚丙烯电容器或聚碳酸酯电容器,R07、R08和R06通常选金属膜五色环电阻。
    IClA、R02和R03组成电压跟随器,设计值为2.5 V,精确度由R02和R03决定,最好用金属膜五色环电阻器。
    隔直电容器C03的漏电要小,选用钽电解电容器为佳。
    IClA和IC1B要选用偏置电流小、输入失调电压小的运算放大器。考虑到性价比,笔者使用了TLC2264和TLC2262。

1、 本站不保证以上观点正确,就算是本站原创作品,本站也不保证内容正确。
2、如果您拥有本文版权,并且不想在本站转载,请书面通知本站立即删除并且向您公开道歉! 以上可能是本站收集或者转载的文章,本站可能没有文章中的元件或产品,如果您需要类似的商品请 点这里查看商品列表!
本站协议 | 版权信息 |  关于我们 |  本站地图 |  营业执照 |  发票说明 |  付款方式 |  联系方式
深圳市宝安区西乡五壹电子商行——粤ICP备16073394号-1;地址:深圳西乡河西四坊183号;邮编:518102
E-mail:51dz$163.com($改为@);Tel:(0755)27947428
工作时间:9:30-12:00和13:30-17:30和18:30-20:30,无人接听时可以再打手机13537585389